İçerisinde akaryakıt girdisi bulunan ve sözleşmesinde fiyat farkı hesaplanacağı düzenlenen hizmet alımları ve yapım işleri sözleşmelerinde ÖTV’ye ilişkin değişikliklerden kaynaklanan fiyat farkı hesaplamalarına ilişkin olarak Kamu İhale Kurumu tarafından 25/12/2018 tarihli ve 2018/DK.D-405 sayılı Kurul Kararı yayımlanmıştır.
20 Şubat 2018 tarihi itibarıyla bu kararın iptal edildi ve yerine 2019/DK.D-48 sayılı Kurul Kararı getirildi. Bu karar ile formülün içeriğine yeni bir düzeltme katsayısı (k) eklenmiştir. Bu katsayı akaryakıt girdisinin nispi ağırlığını göstermektedir. 2018/11818 sayılı Bakanlar Kurulu Kararının ekinde yer alan ürünlerden farklı ürün bulunması ve ihale dokümanında herhangi bir ayrım olmaksızın tek bir b katsayısının belirlendiği durumlarda, bu katsayı idarece tespit edilecek. Böyle bir tespitin yapılmaması halinde ise 1,00 olarak dikkate alınacak. İdare, sözleşme bazında isterse ayrı ayrı düzeltme katsayısı belirleyebileceği gibi, benzer nitelikteki işlerde kullanılmak üzere genel bir katsayı da belirleyebiliyor.
Fiyat Farkı Hesabında nelere dikkat edilmeli?
– Fiyat Farkına İlişkin Esasların 5 inci maddesine göre hesaplanan fiyat farkından bağımsız olarak kesilecek ancak, hesaplama neticesinde artı değer bulunması halinde herhangi bir işlem yapılmayacak
– 2018/11818 sayılı Bakanlar Kurulu Kararının uygulandığı dönem için geçerli olup, 2015/DK.D-86 sayılı Kurul Kararı bu dönem için uygulanmayacak. Ancak Bakanlar Kurulu Kararındaki hükümlerin herhangi bir nedene uygulanamaması halinde 2015/DK.D-86 sayılı Kurul Kararı dikkate alınacak
– 2018/11818 sayılı Bakanlar Kurulu Kararının yeniden uygulanmaya başladığı tarihten önce ihale edilen işlerde bu uygulamanın başladığı tarihe, söz konusu tarihten sonra ihale edilen işlerde ise ihale tarihine ait ilgili TÜİK endeksleri ve akaryakıt bayi satış fiyatları dikkate alınacak
Fiyat Farkı Hesabı nasıl yapılacak?
Sözleşmesinde fiyat farkı hesaplanacağı düzenlenen ve akaryakıt girdisine ilişkin olarak b1 veya b3 katsayısı belirlenen hizmet alımları ile yapım işleri sözleşmelerinde, 4734 sayılı Kanunun Fiyat Farkına İlişkin Esasların 5 inci maddesine göre hesaplanan fiyat farkından bağımsız olarak aşağıdaki esaslara göre hesaplanacak:
ÖRNEK 1: 2.1.2018 tarihinde ihalesi yapılan ve sözleşmesinde fiyat farkı ödenmesi öngörülen bir yapım işinde, akaryakıt ağırlık oranını temsil eden sabit katsayının (b3) 0,3 olarak belirlendiği, ancak (b3) katsayısı hesabına esas olmak üzere akaryakıt dışında % 60 oranında bitüm girdisi bulunduğu, anılan iş kapsamındaki aylık hakediş ödemelerinin 100.000,00 TL olduğu, ayrıca motorin için EPDK tarafından ihale tarihinde ilan edilen bayi satış fiyatının 5,00 TL olduğu dikkate alındığında, her bir ay için ayrı ayrı hesaplanmak üzere, 2018 yılı Temmuz ayı için fiyat farkı hesabı aşağıdaki gibi olacaktır:
Bayi satış fiyatlarına göre Temmuz ayı için hesaplanan fiyat farkı:
ÖTV’de meydana gelen değişimler sonrası Temmuz ayı için motorin bayi satış fiyatı = 5,66 TL/Litre,
İhale tarihi, 2018/11818 sayılı Bakanlar Kurulu Kararının yürürlüğe girdiği tarihten önce olduğundan anılan Bakanlar Kurulu Kararının yürürlüğe girdiği 17/5/2018 tarihinde ilan edilen bayi satış fiyatı (5,66 TL) esas alınır.
Fb = (An x B x b x k x D)/S = [100.000,00 x 0,9 x 0,3 x 0,4 x (5,66-5,66)]/5,00 = 0,00 TL
Fiyat Farkına İlişkin Esaslar dikkate alınarak Temmuz ayı için hesaplanan fiyat farkı:
F = An x B x b x k x ( Pn – 1 )
İhale tarihi, 2018/11818 sayılı Bakanlar Kurulu Kararının yürürlüğe girdiği tarihten önce olduğundan temel endekse esas olarak (Yo) 2018 yılı Mayıs ayına ait endeks dikkate alınır.
Pn = (Yn/Yo) = (817,87/758,00) = 1,079
k = 1 – 0,6 = 0,4
F = 100.000,00 x 0,9 x 0,3 x 0,4 x (1,079-1 ) = 853,20 TL
Bu durumda, Temmuz ayı için hesaplanacak fiyat farkı;
Fö = Fb – F = 0,00 – 853,00 = – 853,20 TL
olup, bu tutar yüklenici hesabından kesilir.
ÖRNEK 2: 2.7.2018 tarihinde ihalesi yapılan ve sözleşmesinde fiyat farkı ödenmesi öngörülen bir hizmet alımı sözleşmesinde, akaryakıt ağırlık oranını temsil eden sabit katsayının (b1) 0,2 olarak belirlendiği ve (b1) katsayısının hesabında akaryakıt dışında bir petrol ürünün bulunmadığı, aylık hakediş ödemelerinin 100.000,00 TL olduğu, ayrıca motorin için EPDK tarafından ihale tarihinde ilan edilen bayi satış fiyatının 5,66 TL olduğu dikkate alındığında, her bir ay için ayrı ayrı hesaplanmak üzere, 2018 yılı Ağustos ayı için fiyat farkı hesabı aşağıdaki gibi olacaktır:
Bayi satış fiyatlarına göre Ağustos ayı için hesaplanan fiyat farkı:
1-15 Ağustos 2018 tarihlerinde motorin bayi satış fiyatı = 5,66 TL/Litre
ÖTV’de meydana gelen değişim sonrası 16-31 Ağustos 2018 tarihlerinde motorin bayi satış fiyatı = 6,22 TL/Litre
İhale tarihi, 2018/11818 sayılı Bakanlar Kurulu Kararının yürürlüğe girdiği tarihten sonra olduğundan ihale tarihinde (2.7.2018) ilan edilen bayi satış fiyatı (5,66 TL) esas alınır. Ayrıca b1 katsayısının hesabında akaryakıt dışında bir petrol ürünü bulunmadığından düzeltme katsayısı (k) 1,00 olacaktır.
Fb = (An x B x b x k x D)/S = [((15/31) x 100.000,00) x 0,9 x 0,2 x (1) x (5,66-5,66) + ((16/31) x 100.000,00) x 0,9 x 0,2 x (1) x (6,22-5,66)]/5,66 = 919,18 TL
Fiyat Farkına İlişkin Esaslar dikkate alınarak Ağustos ayı için hesaplanan fiyat farkı:
F = An x B x b x k x ( Pn – 1 )
İhale tarihi, 2018/11818 sayılı Bakanlar Kurulu Kararının yürürlüğe girdiği tarihten sonra olduğundan temel endekse esas olarak (Yo) 2018 yılı Temmuz ayına ait endeks dikkate alınır.
Pn = (Yn/Yo) = (1023,55/817,87) = 1,25
k = 1
F = 100.000,00 x 0,9 x 0,2 x 1 x (1,25-1 ) = 4.500,00 TL
Bu durumda, Ağustos ayı için hesaplanacak fiyat farkı;
Fö = Fb – F = 919,18 – 4.500,00 = – 3.580,82 TL
olup, bu tutar yüklenici hesabından kesilir.
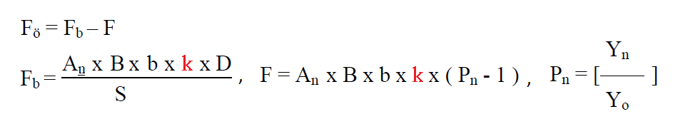
Formülde geçen kısaltmaların açıklamaları;
Fö: ÖTV’de meydana gelen değişikliğin bayi satış fiyatlarında meydana getirdiği değişiklik nedeniyle, Fiyat Farkına İlişkin Esasların 5 inci maddelerine göre hesaplanan fiyat farkından bağımsız olarak hesaplanan fiyat farkını,
Fb: Akaryakıt ürünlerinde bir önceki yıl gerçekleşen piyasa büyüklüklerine göre en büyük işlem hacmine sahip olan ilk sekiz akaryakıt şirketince ilgili akaryakıt ürünü için EPDK’ya bildirilen ve EPDK’nın internet sayfasında yayımlanan İstanbul İli, Avrupa yakası için geçerli bayi satış fiyatları esas alınarak hesaplanan ilgisine göre 2018/11818 sayılı Bakanlar Kurulu Kararının yürürlüğe girdiği tarih veya ihale tarihi ile uygulama tarihi arasındaki fiyat farkını,
F: Fiyat Farkına İlişkin Esaslar dikkate alınarak b1 veya b3 katsayılarına bağlı hesaplanan fiyat farkını,
An: ÖTV’de meydana gelen değişikliğin yürürlüğe girdiği tarih ve sonrasında Fiyat Farkına İlişkin Esasların 5 inci maddelerine göre yapılan fiyat farkı hesabında esas alınan hakediş tutarını,
B: 0,90 sabit katsayısını,
b: Akaryakıtın ağırlık oranını temsil etmek üzere, ilgili yapım işi veya hizmet alımı sözleşmesinde belirtilen sabit katsayıyı (İşin sözleşmesinde akaryakıtın ağırlık oranını temsil eden birden fazla b katsayısı belirlenmiş olması durumunda ÖTV kaynaklı fiyat farkı ödenmesinde ilgili kısma ait b katsayısı kullanılacaktır.),
k: Akaryakıt girdisinin nispi ağırlığını gösteren düzeltme katsayısını (Yapım işi veya hizmet alımı sözleşmesi kapsamında, 2018/11818 sayılı Bakanlar Kurulu Kararına ekli listede yer alan akaryakıt ürünleri haricinde petrol ürünleri bulunmasına rağmen ihale dokümanında herhangi bir ayrıma gidilmeksizin tek bir b katsayısının belirlendiği durumlarda idarece tespit edilecek olup, aksi halde 1,00 olarak dikkate alınacaktır. İdarece sözleşme bazında ayrı ayrı düzeltme katsayısı belirlenebileceği gibi, benzer nitelikteki işlerde kullanılmak üzere genel bir katsayı da belirlenebilir.),
D: Akaryakıt bayi satış fiyatlarında meydana gelen artış veya azalış tutarını (İhale tarihi 2018/11818 sayılı Bakanlar Kurulu Kararının yürürlüğe girdiği tarih ve öncesinde olan sözleşmelerde, uygulama ayındaki akaryakıt bayi satış fiyatından 2018/11818 sayılı Bakanlar Kurulu Kararının yürürlüğe girdiği tarihte ilan edilen bayi satış fiyatı çıkarılarak bulunacaktır. İhale tarihi 2018/11818 sayılı Bakanlar Kurulu Kararının yürürlüğe girdiği tarihten sonra olan sözleşmelerde ise, uygulama ayındaki akaryakıt bayi satış fiyatından ihale tarihinde ilan edilen bayi satış fiyatı çıkarılarak bulunacaktır.),
S: İhale tarihinde ilan edilen bayi satış fiyatını,
Pn: Katı ve sıvı yakıtlara ilişkin fiyat farkı katsayısını,
Yo: İhale dokümanında katı ve sıvı yakıtlar için belirlenen ve Türkiye İstatistik Kurumu tarafından aylık yayımlanan 19, 19.1 ve 19.2 numaralı endekslerden; ihale tarihi 2018/11818 sayılı Bakanlar Kurulu Kararının yürürlüğe girdiği tarih ve öncesinde olan sözleşmelerde, 2018/11818 sayılı Bakanlar Kurulu Kararının yürürlüğe girdiği 2018 yılı Mayıs ayına ait endeksi, ihale tarihi 2018/11818 sayılı Bakanlar Kurulu Kararının yürürlüğe girdiği tarihten sonra olan sözleşmelerde ise ihale tarihinin içinde bulunduğu aya ait endeksi,
Yn: İhale dokümanında katı ve sıvı yakıtlar için belirlenen ve Türkiye İstatistik Kurumu tarafından aylık yayımlanan 19, 19.1 ve 19.2 numaralı endekslerden; uygulama ayına ait endeksi,
Abone Listemize Kaydolun
inşaPORT Mail Aboneliği
Posta listemize abone olun ve e-posta gelen kutunuzda ilginç şeyler ve güncellemeler alın.
Abone olduğunuz için teşekkür ederiz.
Bir şeyler yanlış gitti.








